Номер 720 - ГДЗ Алгебра 7 класс. Мерзляк, Полонский. Учебник. Страница 125

Вернуться к содержанию учебника

Страница 125

717 718 719 720 721 722 723

Вопрос

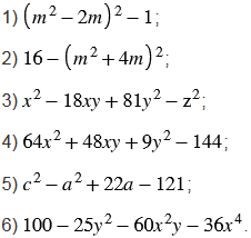
Представьте в виде произведения выражение:

Подсказка

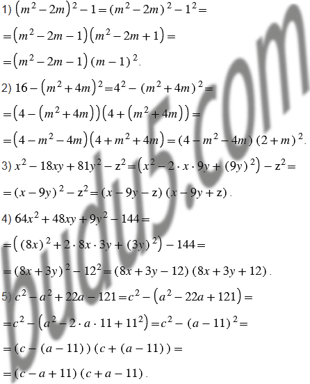
Ответ


Вернуться к содержанию учебника